如何解一元三次方程 一元三次方程解法的诞生过程,堪比“宫斗剧”
如何解一元三次方程 一元三次方程解法的诞生过程,堪比“宫斗剧”
欧洲的代数学,是在卡尔达诺和塔尔塔里亚之间那场著名的论战之后,才有了真正的起步。要弄清这场震动数学界的论战的来龙去脉,我们还得分别讲起。
话说16世纪的最初几年,在意大利最古老的波伦亚大学,有一位叫费洛(Ferlo,1465—1526)的数学教授,他潜心于研究当时的世界难题———一元三次方程的公式解。
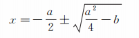
大家知道,尽管在古代的巴比伦和古代的中国,都已掌握了某些一元二次方程的解法,但一元二次方程的公式解,却是由中亚数学家阿尔·花拉子米(Al-Khowarizmi,约783—约850)在825年给出的。花拉子米是把方程

的形式,从而得出方程的两个根


阿尔·花拉子米(Al-Khowarizmi)
花拉子米之后,许多数学家曾为探求三次方程解法的奥秘进行过不懈的努力。但在700年的时间长河中,除了取得个别方程的特解之外,没有人能获得实质性进展。在严峻的现实面前,有些人却步了,他们怀疑这样的公式解根本不存在。然而费洛却不以为然,依旧执着地追求着。苍天不负有心人,他终于在不惑之年,取得了重大突破。
1505年,费洛宣布,他本人找到了形如

尼克罗·塔尔塔里亚
小塔尔塔里亚天资聪慧,勤奋好学。他研究物理,钻研数学,很快显露出超人的才华。尤其是他发表的一些论文,思路奇特,见地高远,表现了其相当深的数学造诣,从而一时间闻名遐迩。
塔尔塔里亚的自学成才,受到了当时科班出身的一些人的轻视和妒忌。
1530年,布里西亚的一位数学教师科拉,向塔尔塔里亚提出了两个挑战性问题,想以此难倒对方。这两个问题是:
(1)求1个数,其立方加上平方的3倍等于5。
(2)求3个数,其中第2个数比第1个数大2,第3个数又比第2个数大2,它们的积为1000。
这实际是两道求三次方程实根的题,如果设题中的第1个数为x,则第1道题的方程是

卡尔达诺
然而当时的塔尔塔里亚已经誉满欧洲,所以并不打算把自己的成果立即发表,而是醉心于完成《几何原本》的巨型译作。对众多的求教者,他一概拒之门外。当过医生的卡尔达诺,熟谙心理学的要领,以勤奋、刻苦、真诚打动塔尔塔里亚,使他似乎见到了自己幼年的影子,从而成了唯一的例外。1539年,在卡尔达诺的再三恳求下,塔尔塔里亚终于同意把自己的秘诀传授给他,但有一个条件,就是要严守秘密。
然而,卡尔达诺并没有遵守这一诺言。1545年,他用自己的名字发表了《大法》(ArsMagna,意即伟大的技艺)一书,书中介绍了不完全三次方程的解法,并写道:
“大约30年前,波伦亚的费洛就发现了这一法则,并传授给威尼斯的佛罗雷都斯,后者曾与塔尔塔里亚进行过数学竞赛。塔尔塔里亚也发现了这一方法。在我的恳求下塔尔塔里亚把方法告诉了我,但没有给出证明。借助于此,我找到了若干证法,因其十分困难,现将其叙述如下。”
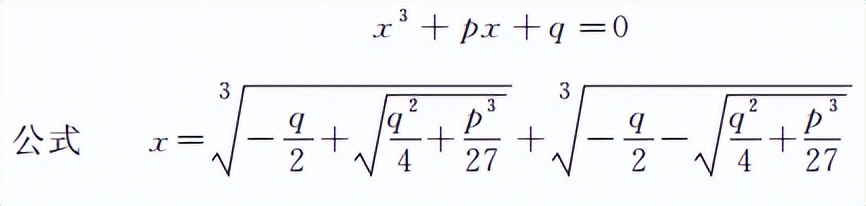
以上,就是后来人们把三次方程的求根公式,称作卡尔达诺公式的缘由。
卡尔达诺指出,对不完全三次方程

给出了它的解。
顺便要说的是,从完全三次方程

,到不完全三次方程,只需施行一个变换y=x+b/3a。这实际上只有一步之遥。
《大法》发表第二年,塔尔塔里亚发表了《种种疑问及发明》一文,谴责卡尔达诺背信弃义,并要求在米兰与卡尔达诺公开竞赛,一决雌雄。
然而,到参赛那天,出阵的并非卡尔达诺本人,而是他的天才学生,一位从小当过仆人,因才华出众而被卡尔达诺看中的青年人费拉里(Ferrari,1522—1565)。此时的费拉里风华正茂,思维敏捷,能言善辩。他不仅掌握了解三次方程的要领,而且已经发现了四次方程的极为巧妙的解法。结结巴巴的塔尔塔里亚,哪是费拉里的对手,自然是不堪一击,狼狈败返!
此后,塔尔塔里亚虽然潜心于代数学的鸿篇巨制,但终因此番挫折,心神俱伤,于1557年溘然与世长辞,享年58岁。
·
-
- 44岁女人出轨后想离婚吗(阿姨苦不堪言选择离婚)
-
2025-12-02 11:59:11
-
- 炎帝和黄帝,关于炎帝和黄帝的存在依据?
-
2025-12-02 09:07:56
-
- 洗洁精瓶盖怎么弹上来,洗洁精瓶子怎么第一次怎么打开
-
2025-12-02 09:05:41
-
- 世界杯冠军榜排名(历届世界杯冠军球队以及夺冠数量排名介绍)
-
2025-12-02 09:03:26
-
- 形容时间过得很快的优美句子,形容时间过得很快的优美句子?
-
2025-12-02 09:01:11
-
- 夏威夷在地理位置上属于哪个洲,夏威夷群岛属于哪个洲?
-
2025-12-02 08:58:56
-
- 二广高速公路,二广高速全程路线图?
-
2025-12-02 08:56:41
-
- 欧珀莱恒久美肌精华露怎么样_好用吗
-
2025-12-02 08:54:26
-
- 哪种酸奶才是纯酸奶,什么样的酸奶才是真正的酸奶
-
2025-12-02 08:52:11
-
- 东方双狮属于什么档次,东方双狮手表怎么样测评
-
2025-12-02 08:49:56
-
- 纯棉40支和60支区别,四件套纯棉40支和60支区别
-
2025-12-02 08:47:40
-
- 冬天脚冷怎么办(寒潮来袭,怕冷手脚冰凉?来试试这几招让身体暖起来)
-
2025-12-01 19:34:03
-
- 如何保存活的花蛤过夜,从超市买的花蛤可以过夜吗?
-
2025-12-01 19:31:48
-
- 日本品牌「IPSA」、「SOU・SOU」该怎么念?正确的念法应该是这样
-
2025-12-01 19:29:33
-
- 鸟的天堂榕树有多大,鸟的天堂大榕树的占地面积
-
2025-12-01 19:27:18
-
- 新鲜的玉竹怎么挑选,玉竹价格2022最新价格
-
2025-12-01 19:25:03
-
- 洗洁精加什么擦玻璃干净,用什么水擦玻璃可以又亮又干净
-
2025-12-01 19:22:48
-
- 公历是快的还是慢的,公历是过的快的还是慢的日子!请懂的来?
-
2025-12-01 19:20:33
-
- 密封盒吸住了怎么打开,密封桶被气压吸住了怎么才能打开盖子
-
2025-12-01 19:18:18
-
- 地板发霉怎么清理干净,木地板发霉有什么好的处理方法
-
2025-12-01 19:16:03



李小龙究竟有多厉害?创造9项世界纪录,至今没人能挑战成功
全国十大火车站排名