​有机合成系列 | 缩合反应:羟醛缩合(Aldol condensation)

2026-01-11 00:19 来源:生活常识网 点击:

有机合成系列 | 缩合反应:羟醛缩合(Aldol condensation)

[概念]

含有a-氢原子的醛或酮在催化剂作用下,生成b-羟基醛、酮的反应,称为羟醛缩合,也叫醇醛缩合。该反应通常在碱催化下进行,有时也在酸催化下进行。

[反应通式]

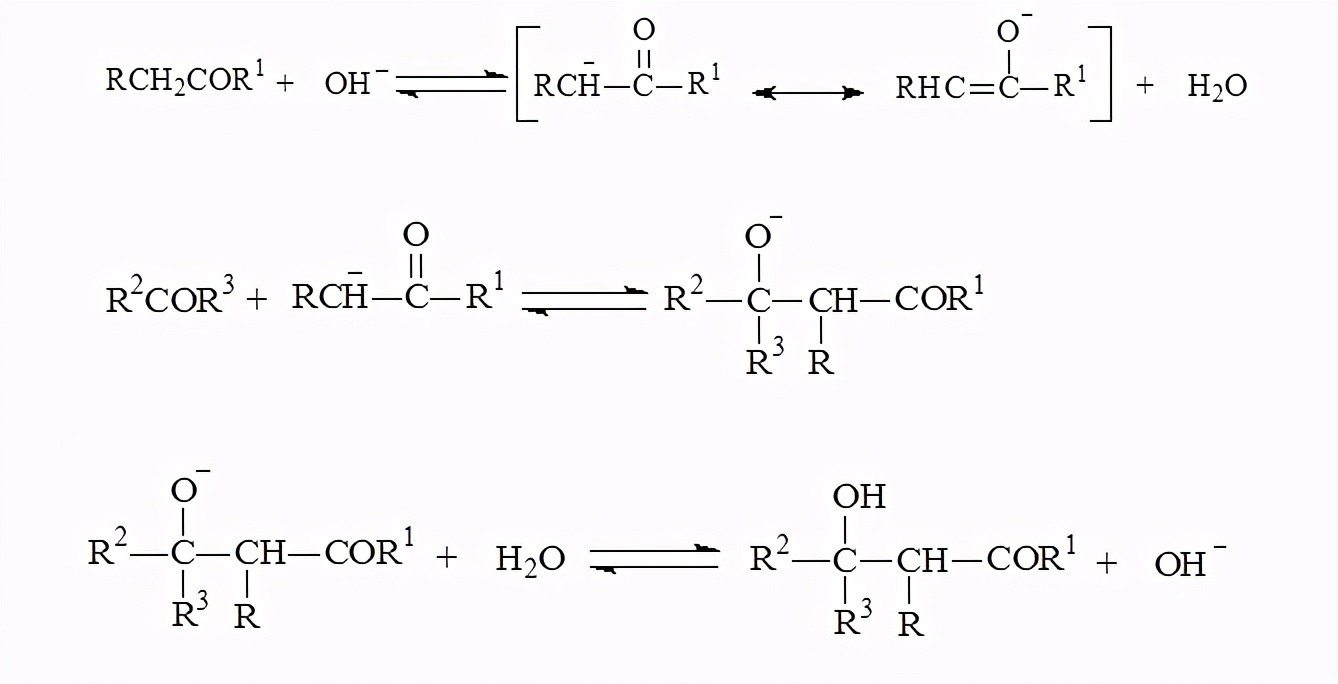
[反应机理]

碱催化反应机理:

酸催化反应机理:

缩合产物b-羟基醛、酮通常经酸催化脱水,或在加热下脱水,生成a、b-不饱和醛、酮。

[反应中应注意的问题]

羟醛缩合反应中醛与不含a-氢原子的醛进行缩合时,需要控制碱的强度,以免发生Cannizzaro反应。

羟醛缩合反应是可逆反应。

羟醛缩合反应广泛用于有机合成,它是增长碳链一种有效方法。二醛及二酮进行分子内羟醛缩合,可制取环状化合物,特别是五元环和六元环状化合物,此类反应可用于萜及甾族化合物的合成。

[反应实例]